历来奇葩作文大盘点,小学生的想象力爆棚

宁波一名五年级小学生写的寒假作文,在网上被疯狂转发,老师感叹小学生的想象力爆棚了。

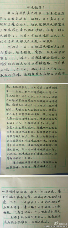
作文题为《历史乱套了》:

  我认为历史是这样的:本来全世界的石头都是连在一起的,由于盘古开天地时力量无比大,所以把石头都震成了现在我们看见的小块块。但有一块石头例外了,它有一个故宫城那么大。人们千百年来都认为这是一块妖石。

然而有一天,这块石头爆发了:天在震动,地在摇晃。突然,从石头里面窜出一只小猴子,他就是孙悟空。孙悟空取经回来后与白骨精结婚。住在盘丝洞。几个月后,他们生了一个女儿,取名叫慈禧。慈禧长大后就去后宫闯荡,果然很争气,立马变成了后宫的主角———太后,那个时候慈禧太后与十四爷已经有了四个儿子,二个女儿。而那个时候的皇帝则是在历代很有名的李清照。

据老师介绍,文章是宁波市华天小学五年级1班一名女生所写。平时这名学生就写过这样天马行空的作文,可能这是她的一种探索。老师回忆说,在之前,刚好和学生们讲过穿越这个主题,包括西方电影涉及的穿越和中国电视里的穿越。

说两句:这个奇葩作文,看了让人想笑,但是一个小学生能有如此的想象力,确实惊人!在八股式作文横行校园的当下,一个小学生能够有如此的想象力,是个可造之材,也说明老师的教育方式值得人们借鉴。

   小学生写作文,完全不能局限他们,倘若每个人都认认真真写假期干了什么,做了啥好事,没什么新意不说,反倒让他们养成一种八股式作文的模式,这样对于以后得发展也不利。

   小学教育,就应该取百家之长,充满趣味和乐趣。局限在条条杠杠的思维内,只能造出一堆“仿制品”。

键盘左右方向键可快速翻页

发表评论

沙发空缺中,还不快抢~